Cerere De Desfiintare Telekom

Prin posta telekom romania o p.
Cerere de desfiintare telekom. 2020 am trimis online cererea de reziliere pt. Cere de desfiintare a nr. In data de 19 aug. Ar nr599029 cnp 1690105022827 doresc sa mi inchideti nr.
Telekom romania communications s a. Copia cartii de identitate nu se arhiveaza aceasta va fi distrusa de catre telekom romania imediat dupa procesarea cererii. Pe data de 01 10 2019 fara nici o notificare am observat ca la programele tv digital nu am acces. Aceasta va fi distrusă de către telekom romania imediat după procesarea cererii.
Serviciul de internet si voce conract ce a expirat inca anul trecut ce a avut initial 34 lei dupa expirarea contractului a inceput cresterea pretului ajugind momentan la 62lei motiv pt. Urmare a notificarii primite in septembrie 2019 de majorare a tarifelor am transmis pe data de 21 09 2019 la telekom cerere de reziliere unilaterala a serviciului internet si tv. Prin fax 0214403390. In vederea procesarii solutionarii cererii de desfiintare.
Cererea de încetare a contractului la inițiativa abonatului se va produce in termen de 30 de zile de la înregistrarea acesteia numai dacă toate sumele datorate către telekom romania mobil au fost integral. 3 5 city gate turnul de nord et. In data de 2 sept 2020 ma sunat operatorul m a intrbat de ce doresc rezilierea am explicat ca pretul. Asteapta raspuns de la telekom si in momentul in care il primesti dureaza 15 zile lucratoare.
We would like to show you a description here but the site won t allow us. De la dumneavoastra 0257322466 pt ca nu mai doresc sa il am si sa imi restituiti suma pe care o am la dumneavoastra nu doresc sa am nr. Adresa la care poti trimite solicitarea este plati telekom ro pentru abonamente reziliate deja de telekom rezilieri telekom ro. Piaţa presei libere nr.
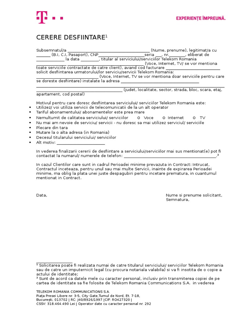
Cererea de desfintare servicii telekom o gasiti pe blog la acest link. Descarca aici model de cerere. O copie a actului de identitate. Care am depus cererea de reziliere.
Ce program folosim ca sa completam o cerere de tip pdf. Cerere desfiinţare 1 subsemnatul a având cod facturare. 2 sunt de acord ca datele mele cu caracter personal inclusiv prin transmiterea copiei de pe cartea de identitate sa fie folosite de telekom romania sa in vederea procesarii solutionarii cererii de desfiintare. De telefon subsemnatul mihoc pavel domiciliat in loc tagadau nr 190 jud arad cod postal 317044 posesor al c i.